Part3
●
関数関数の使い方
(リファレンス)
![]() |
3-1 統計関数
統計関数は、データ範囲の平均値や最大最小や偏差値など、統計分析を行う関数です。専門分野に依存する特殊な関数も多く組み込まれています。たとえば、累積確率密度関数や二項分布など確率を求める関数などがあります。なお、数値に対する一般的な関数(平均値や最大最小値、順位など)についてはPart2で詳しく解説しているので、ここでは省いています。
![]()
___
■平均値
平均値を求める統計関数を紹介します。数値に対する一般的な平均値や最大最小値、順位についてはPart2で詳しく解説しているので、ここでは省いています。
HARMEAN 数値の調和平均を返す。
DEVSQ 標本の平均値から、データの偏差の平方和を返す。
TRIMMEAN データの中間項平均を返す。
GEOMEAN 相乗平均を返す。
●HARMEAN関数
数値の調和平均を返します。求める値は、逆数の算術平均(相加平均)に対する逆数として定義されます。
書式 HARMEAN(数値1, 数値2, ...)
数値1,数値2,... 計算の対象となる最大30個までの数値を指定します。配列または配列に対するセル参照を指定することもできる
この関数は次の式と等価な値として求められます。
調和平均<=相乗平均<=相加平均
EX4A081Z
使用例
図Aはそれぞれの組(データ集まり)の調和平均を求めた結果です。データの中の空白セルは無視されて計算されます。セルD13はD6の空白を省いたセル範囲を指定して、セルD11の組全体を範囲指定した結果と比較しています。組の中に0値あるいは0以下があると計算不能(エラー値#NUM!)が返されます。
図A
EX4A165Z
入力する数式
B11 :=HARMEAN(B4:B10)
D11 :=HARMEAN(D4:D10)
E11 :=HARMEAN(E4:E10)
D13
:=HARMEAN(D4:D5,D7:D10)
●DEVSQ関数
標本の平均値に対する各データの偏差の平方和を返します。
書式 DEVSQ(数値1, 数値2, ...)
数値1,数値2,... 偏差の平方和を求める数値を指定します。引数は1〜30個まで指定できます。
偏差の平方和は、次の数式で表されます。
EX4A068Z
使用例
平均値に対する各データの偏差の平方和は図Aのようになります。セルC11はデータ内に0を含む計算結果です。セルD11はデータ内に空白セルを含むときの結果(排除されて計算されている)です。
図A
EX4A167Z
入力する数式
C11 :=DEVSQ(C4:C10)
D11 :=DEVSQ(D4:D10)
●TRIMMEAN関数
引数に指定したデータ全体の上限と下限から一定の割合のデータを切り落として残りのデータの平均値を返します。
書式 TRIMMEAN(配列, 割合)
配列 対象となるデータを含むセル範囲を指定します。
割合 平均値の計算から排除するデータの割合(0<割合<1)を小数で指定します。
引数[割合]は、0以上1以下の値で指定します。たとえば、全体で10個のデータを指定して、最大値と最小値を省いたデータの平均値を求める場合、割合に0.2を指定します。その結果、排除されるデータは10×0.2=2となり上限から1個、下限から1個の合計2個のデータが排除されることになります。
排除されるデータ数が奇数または小数点以下の値を含む場合、切り捨てられて最も近い2の倍数(偶数)にされます。たとえば、データの総数が10個で割合に0.1を指定すると、排除されるデータ数は10×0.1=1となりますが、実際の計算では、データの排除は行われません。また、排除数が3になるような場合、上限から1個、下限から1個の2個のデータだけが排除されます。
使用例
排除の割合を指定した平均値を求めると図Aのようになります。セルF7の排除数は0、セルF8の排除数は1になるので排除しないで平均値が求められています。セルF9の排除数は2、セルF10の排除数は3なので上限下限それぞれ1個のデータを排除した平均値が計算されています。セルF3は結果の比較用として通常の平均値を求めています。
図A
EX4A166Z
入力する数式
F3 :=AVERAGE(C4:C13)
F7
:=TRIMMEAN($C$4:$C$13,E7)
F8
:=TRIMMEAN($C$4:$C$13,E8)
F9 :=TRIMMEAN($C$4:$C$13,E9)
F10:=TRIMMEAN($C$4:$C$13,E10)
F11:=TRIMMEAN($C$4:$C$13,E11)
●GEOMEAN関数
正の数からなる配列またはセル範囲のデータの相乗平均を返す。GEOMEAN 関数を利用すると、利率が変動する場合の複利計算で、平均成長率を計算することができます。
書式 GEOMEAN(数値1, 数値2, ...)
数値1,数値2,... 相乗平均を計算する数値を指定する(最大30個)
相乗平均は次の式で与えられます。
EX4A080Z
使用例
[A]数式を入力する
[B]結果
![]() |
![]() |

EX4A391Z EX4A392Z
【まとめ】
HARMEAN 数値の調和平均を返します。
DEVSQ 標本の平均値から、データの偏差の平方和を返します。
TRIMMEAN データの中間項平均を返します。
●データ範囲の空白、文字列、論理値は排除されて計算されます。
■順位
MEDIAN 指定された数値のメジアンを返す。
MODE データの中で最も頻繁に出現する値 (最頻値) を返す。
●MEDIAN関数
引数リストに含まれる数値のメジアン(中央値)を返す。メジアンとは、引数リストの数値を小さいものから大きなものに順に並べたとき、その中央にくる数値のことです。
書式 MEDIAN(数値1, 数値2, ...)
数値1,数値2,... 計算する値を指定する(30個までの数値)
引数として指定した値に、文字列、論理値、または空白セルが含まれる場合、これらの値は無視されます。ただし、値が0であるセルは計算の対象になります。引数として指定した数値の個数が偶数である場合、中央に位置する2つの数値の平均が計算されます。
使用例
[A]数式を入力する
[B]結果
![]() |

EX4A403Z EX4A404Z
次の例は、値の数が6個の偶数なので、3個目の70と4個目の80の平均値(75)が返されています。
[A]数式を入力する
[B]結果

EX4A405Z EX4A406Z
●MODE関数
配列またはセル範囲として指定されたデータの中で、最も頻繁に出現する値(最頻値)を返す。
書式 MODE(数値1, 数値2, ...)
数値1,数値2,... 計算する値を指定する(30個までの数値)
引数として指定した配列やセル範囲に、文字列、論理値、または空白セルが含まれる場合、これらの値は無視されます。ただし、値が 0 であるセルは、計算の対象となります。対象となるデータに重複する値が含まれていない場合、エラー値 #N/A が返されます。
使用例
[A]数式を入力する
[B]結果

EX4A407Z EX4A408Z
■正規分布関数
NORMDIST 正規分布関数の値を返す。
NORMINV 正規分布関数の逆関数の値を返す。
●NORMDIST関数
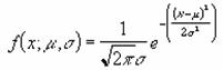
指定した平均と標準偏差に対する正規分布関数の値を返す。この関数は、仮説検定を始めとする統計学の幅広い分野に応用できます。
書式 NORMDIST(x, 平均, 標準偏差, 関数形式)
x 関数に代入する数値を指定する。
平均 分布の算術平均 (相加平均) を指定する。
標準偏差 分布の標準偏差を指定する。
関数形式 計算に使用する関数の種類を指定する
論理値 関数形式
TRUE 累積分布関数
FALSE 確率密度関数
正規分布の確率密度関数は次の式で定義されます。
EX4A094Z
使用例
[A]数式を入力する
[B]結果

EX4A410Z EX4A409Z
●NORMINV関数
指定した平均と標準偏差に対する正規累積分布関数の逆関数の値を返す。
書式 NORMINV(確率, 平均, 標準偏差)
確率 正規分布における確率を指定する。
平均 分布の算術平均 (相加平均) を指定する。
標準偏差 分布の標準偏差値を指定する。
関数値の計算に反復計算の手法が利用されるので、計算結果の精度が±3x10-7以内になるまで反復計算が行われます。100回反復計算を繰り返しても計算結果が収束しない場合、エラー値 #N/A が返されます。
使用例
[A]数式を入力する
[B]結果

EX4A412Z EX4A411Z
■標準正規累積分布関数
NORMSDIST 標準正規累積分布関数の値を返す。
NORMSINV 標準正規累積分布関数の逆関数の値を返す。
●NORMSDIST関数
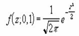
標準正規累積分布関数の値を返す。この分布は、平均が 0(ゼロ) で標準偏差が 1 である正規分布に対応します。
書式 NORMSDIST(z)
z 関数に代入する値を指定する。
正規分布の標準密度関数は次の式で定義されます。
EX4A095Z
使用例
[A]数式を入力する
[B]結果
[A] [B]

EX4A413Z EX4A414Z
●NORMSINV関数
標準正規累積分布関数の逆関数の値を返す。この分布は、平均が 0 で標準偏差が 1 である正規分布に対応します。
書式 NORMSINV(確率)
確率 正規分布における確率を指定する。
確率<0、または確率>1である場合、エラー値 #NUM! が返されます。計算には反復計算の手法が利用され計算結果の精度が±3x10-7以内になるまで反復計算が行われます。100 回反復計算を繰り返しても計算結果が収束しない場合、エラー値 #N/A が返されます。
使用例
[A]数式を入力する
[B]結果

EX4A415Z EX4A416Z
■標準化変量とz検定
STANDARDIZE 標準化変量を返す。
ZTEST z検定の両側P値を返す。
●STANDARDIZE関数
平均と標準偏差で決定される分布を対象に、標準化変量を返す。
書式 STANDARDIZE(x, 平均, 標準偏差)
x 標準化変量を計算する数値を指定する。
平均 対象となる分布の算術(相加)平均を指定する。
標準偏差 対象となる分布の標準偏差を指定する。
標準化変量は次の式で定義されます。
EX4A103Z
使用例
[A]数式を入力する
[B]結果
[A] [B]

EX4A443Z EX4A444Z
●ZTEST関数
z検定の両側P値を返す。配列で指定されたデータについてxの標準値が計算され、正規分布に従う両側の確率が計算されます。
書式 ZTEST(配列, x, σ)
配列 xの検定対象となるデータを指定する。
x 検定する値を指定する。
σ 母集団全体に基づく標準偏差を指定する。
引数σを省略すると、標本に基づく標準偏差が使用されます。配列にデータが含まれていない場合、エラー値 #N/A が返されます。この関数は次のような計算が行われます。
EX4A116Z
使用例
図では同じ引数値をσの指定と省略の両方を求めています。セルF7が省略した方の値です。なお、引数[配列]を関数に直接入力すると以下のような書き方になります。
=ZTEST({40;65;70;88;76;55;40;28;10;90},C5)
EX4A190Z
F5 :=ZTEST(D5:D14,C5,C6)
F7 :=ZTEST(D5:D14,C5)
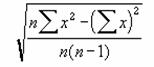
■母集団の信頼区間
CONFIDENCE 母集団の平均値に対する信頼区間を返す。
●CONFIDENCE関数
母集団に対する信頼区間(標本平均の両側のある範囲)を返す。
書式 CONFIDENCE(α, 標準偏差, 標本数)
α 有意水準を指定する(0<α<1)
標準偏差 データ範囲に対する母集団の標準偏差を指定する
標本数 標本数(データ範囲のデータ数)を指定する(整数)
有意水準は次の計算で求めます。データ全体の信頼度が90%のとき、
有意水準=1−0.9
=0.1
逆算、有意水準から信頼度を求めるには、100 * (1-α)% で計算できます。
使用例
自社商品の実売価格を調査したところ、100店舗の標本で平均価格が¥1,250円になり母集団の標準偏差は3.6になりました。その信頼度は90%と仮定すると、母集団の平均に対する信頼区間が図Aのように求められました。よって、実売価格の上限と下限が次のように予測されます。
CONFIDENCE(0.1,3.5,100)
= 0.592
= 1250 ± 0.592 円
= 約1249.4 〜 1250.6円
EX4A176Z
入力する数式
E5 :=CONFIDENCE(C5,C6,C7)
C9 :=100*(1-C5)
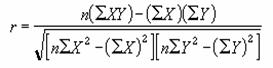
■ピアソンの積率相関係数
PEARSON ピアソンの積率相関係数の値を返す。
●PEARSON関数
ピアソンの積率相関係数rの値を返す。
書式 PEARSON(配列1, 配列2)
配列1 複数の独立変数に対応するデータを指定する
配列2 複数の従属変数に対応するデータを指定する
求める結果のrは-1.0から1.0の範囲の数値で、2組のデータ間での線形相関の程度を示します。引数として指定した配列またはセル範囲に、文字列、論理値、または空白セルが含まれている場合、これらは無視されます。配列1と配列2にデータが含まれていないとき、または両者のデータの個数が異なるときは、エラー値 #N/A が返されます。回帰直線の r の値は次のように定義されています。
EX4A096Z
使用例
[A]数式を入力する
[B]結果

EX4A417Z EX4A418Z
■相関係数
CORREL 2
つのデータ間の相関係数を返す。
COVAR 共分散 (2 組の対応するデータ間での標準偏差の積の平均値) を返す。
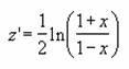
FISHER フィッシャー変換の値を返す。
FISHERINV フィッシャー変換の逆関数の値を返す。
FORECAST 回帰直線上の値を返す。
FREQUENCY データの頻度分布を縦方向の配列として返す。
●CORREL関数
2つの配列データの相関係数を返す。相関係数は、2 つの特性の関係を判断するときに使用します。たとえば、各地域の人口と進学率の相関関数を調べることができます。
書式 CORREL(配列1, 配列2)
配列1 データが入力されたセル範囲を指定する。
配列2 もう一方のデータが入力されたセル範囲を指定する。
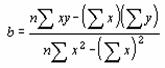
データに文字列、論理値、または空白セルが含まれる場合、これらは無視されます。配列1と配列2のデータの個数が異なるとエラー値 #N/A が返されます。データの標準偏差が0になる場合、エラー値 #DIV/0! が返されます。相関計数は次の数式で計算されます。
EX4A063Z
ここで
また
EX4A064Z EX4A065Z
使用例
図Aの比較データは以下のように求められます。以下の数式はデータを配列定数で入力した書き方です。図Aではセル範囲で指定しています。(配列1は進学率(%)、配列2は人口(万人)と仮定したときの相関係数)
配列定数を使って入力する場合の数式
=CORREL({30,20,40,50,60},{29,18,40,60,170})
EX4A177Z
入力する数式
F5 :=CORREL(C5:C9,D5:D9)
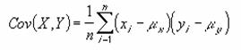
●COVAR関数
共分散、すなわち2組の対応するデータ間での標準偏差の積の平均値を返す。
書式 COVAR(配列1, 配列2)
配列1 整数のデータが入力されている一方のセル範囲を指定する。
配列2 整数のデータが入力されているもう一方のセル範囲を指定する。
引数として指定された配列またはセル参照に文字列、論理値、または空白セルが含まれる場合、これらは無視されます。配列1と配列2に入力されているデータ数が異なる場合、エラー値 #N/A が返されます。配列1または配列2にデータが入力されていない場合、エラー値 #DIV/0! が返されます。共分散は、次の数式で表されます。
EX4A067Z
使用例
図Aは引数をセル参照で指定した方法、以下の数式は配列定数を使ったときの書き方です。
=COVAR({3, 4, 5, 6},
{10, 11, 9, 12})
EX4A188Z
F5 :=COVAR(C5:C8,D5:D8)
●FISHER関数
xの値に対するフィッシャー変換を返す。
書式 FISHER(x)
x 関数に代入する値を指定する。
引数x<=-1またはx>=1である場合、エラー値 #NUM! が返されます。フィッシャー変換は、次の数式で表されます。
EX4A071Z
●FISHERINV関数
フィッシャー変換の逆関数を返す。
書式 FISHERINV(y)
y 逆変換の対象となる値を指定する。
フィッシャー変換の逆関数は、次の数式で表されます。
EX4A072Z
使用例
[A]フィッシャー変換
[B]フィッシャー変換の逆関数
[C]結果
![]() |

EX4A381Z EX4A382Z
EX4A380Z
●FORECAST関数
既知のxと既知のyから得られる回帰線上で、xの値に対する従属変数(y)の値を予測します。この関数を使うと、将来の売上高、商品在庫量、消費動向などを予測できます。
書式 FORECAST(x, 既知のy, 既知のx)
x 予測する従属変数の値に対する独立変数の値を数値で指定する
既知のy 既知の従属変数の値を指定する。
既知のx 既知の独立変数の値を指定する。
既知のyと既知のxで指定したセル範囲または配列が空白のとき、または両者のデータ数が異なるときエラー値 #N/A が返されます。既知のxで指定したデータが変動しないとき、エラー値
#DIV/0! が返されます。方程式はa+bxで表されます。
EX4A076Z EX4A074Z
使用例
[A]数式を入力する
[B]下に続くセルに複写する
EX4A383Z
EX4A384Z
●FREQUENCY関数
範囲内のデータの頻度分布を縦方向の数値の配列として返します。この関数は、結果を配列として返される配列数式になります。
書式 FREQUENCY(データ配列, 区間配列)
データ配列 データ配列またはセル範囲を指定する
区間配列 値の間隔を配列またはセル範囲で指定する
使用例
試験の成績の範囲内に含まれる成績の頻度分布、つまり何点台が何人、を計算することができます。図はテストの結果から、0〜59点、60〜69点、70〜79点、80以上の人数を求めています。この関数は配列形式なので、数式を入力する前に結果を表示する範囲を選択状態にすることと、数式の入力決定は[SHIFT]と[CTRL]キーを押しながら[Enter]キーを押すことが必要です。入力後の#N/A表示は出力データよりも選択した範囲が多すぎたことを現します。図では、区間配列を3つだけ指定したので、3つの範囲とその他の4つが出力されることになり、範囲指定は4つのセルで良かったことになります。
@結果を出力するセル範囲を選択する
A数を入力する
◆[SHIFT]+[CTRL]+[Enter]キーを押す
[A]数式が入力され、各セルに結果が表示される
[B]範囲を1つ多く選択していたので、1つ分のエラーが表示される
エラーのセルだけを削除することはできません。セル範囲の選択から数式の入力をやり直します。結果は、区間配列に指定した順に表示されています。セルG5は0〜59点の人数、セルG6は60〜69点、セルG7は70〜79点、セルG8は80以上の人数になります。
EX4A534Z
EX4A535Z
入力された数式は配列形式になり、[C]のように数式の前後に{}が付加された状態で入力されます。
■指数分布関数
EXPONDIST 指数分布関数の値を返す。
POISSON ポアソン確率分布の値を返す。
●EXPONDIST関数
指数分布関数を返す。イベントなどのある処理を行うために必要な時間な間隔をモデル化(時間以内に終了する確率)する場合に使用します。
書式 EXPONDIST(x, λ, 関数形式)
x 代入する値を指定する。
λ パラメータの値を指定する。
関数形式 計算に使用する指数関数の形式を論理値で指定する。
論理値
TRUE 累積分布関数で計算
FALSE 確率密度関数で計算
引数x<0である場合、λ<=0である場合、エラー値 #NUM! が返されます。確率密度関数は左式、累積分布関数は右式で表されます。
EX4A069Z EX4A070Z
使用例

EX4A375Z EX4A376Z
●POISSON関数
ポアソン確率分布の値を返す。
書式 POISSON(イベント数, 平均, 関数形式)
イベント数 現象の発生回数を指定する
平均 現象の平均値を指定する
関数形式 確率分布を計算する関数形式を論理値で指定する
論理値
TRUE 累積ポアソン確率分布関数で計算する
FALSE ポアソン確率密度関数で計算する
イベント数に小数点以下の値を指定しても切り捨てられます。イベント数または平均に数値以外の値を指定すると、エラー値 #VALUE! が返されます。イベント数<=0 の場合、平均<=0の場合、エラー値
#NUM!が返されます。この関数は、次のように計算されます。
関数形式 = FALSE の場合
EX4A098Z
関数形式 =TRUE の場合
EX4A099Z
使用例
[A]数式を入力する
[B]結果

EX4A419Z EX4A420Z
■F確率分布とF検定
FDIST F 確率分布を返します。
FINV F 確率分布の逆関数を返します。
FTEST F 検定の結果を返します。
●FDIST関数
F確率分布(2組のデータのばらつき)を返す。
書式 FDIST(x, 自由度1, 自由度2)
x 関数に代入する値を指定する。
自由度1 自由度の分子を指定する。
自由度2 自由度の分母を指定する。
自由度1、自由度2に整数以外の値を指定すると、小数点以下が切り捨てられます。引数x<0である場合、 自由度1<1または自由度1>=1010である場合、自由度2<1または自由度2>=1010である場合、エラー値
#NUM! が返されます。
●FINV関数
F確率分布の逆関数を返す。
書式 FINV(確率, 自由度1, 自由度2)
確率 F 累積分布に関連する確率を指定する。
自由度1 自由度の分子を指定する。
自由度2 自由度の分母を指定する。
自由度1、自由度2に整数以外の値を指定すると、小数点以下が切り捨てられます。各引数が次の値のときエラー値 #NUM! が返されます。
確率<0または確率>1である場合
自由度1 < 1 または 自由度1 1010 である場合
自由度2 < 1 または 自由度2 1010 である場合
使用例
[A]FDIST関数
[B]FINV関数
![]() |

EX4A379Z EX4A378Z
EX4A377Z
●FTEST関数
F検定の結果を返します。F検定は、配列1と配列2とのデータのばらつきに有意な差が認められない片側確率が返されます。
書式 FTEST(配列1, 配列2)
配列1 比較対象となる一方のデータを指定する
配列2 比較対象となるもう一方のデータを指定する
配列1または配列2のデータ数が2未満、あるいは配列1と配列2のデータがまったく同じである場合、エラー値#DIV/0!が返されます。
使用例
[A]数式を入力する
[B]結果

EX4A538Z EX4A539Z
■ガンマ関数
GAMMADIST ガンマ分布関数の値を返す。
GAMMAINV ガンマ分布関数の逆関数の値を返す。
GAMMALN ガンマ関数 γ(x) の値の自然対数を返す。
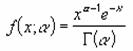
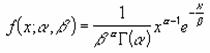
●GAMMADIST関数
ガンマ分布関数の値を返す。この関数は、正規分布に従わないデータの分析を行うときに使います。
書式 GAMMADIST(x, α, β, 関数形式)
x 関数に代入する値を指定する。
α 分布に対するパラメータを指定する。
β 分布に対するパラメータを指定する。
関数形式 返される関数値の形式を論理値で指定する。
論理値
TRUE 累積分布関数を使う
FALSE 確率量関数を使う
引数β=1である場合、標準ガンマ分布に従う関数値が返されます。x、α、βに数値以外の値を指定すると、エラー値
#VALUE! が返されます。x<0である場合、α<=0またはβ<=0である場合、エラー値
#NUM! が返されます。ガンマ分布は次の式で与えられます。
EX4A075Z
また、標準ガンマ分布は次の式で与えられます。
EX4A076Z
α=1である場合、次の式を使って指数分布の値が計算されます。
EX4A077Z
正の整数nに対して、α=n/2、β= 2、関数形式=
TRUEである場合、自由度nにおける(1-CHIDIST(x)) の値が返されます。
使用例
[A]数式を入力する
[B]結果

EX4A385Z EX4A386Z
●GAMMAINV関数
ガンマ累積分布関数の逆関数の値を返す。
書式 GAMMAINV(確率, α, β)
確率 ガンマ確率分布における確率を指定する。
α 確率分布のパラメータを指定する。
β 確率分布のパラメータを指定する。
引数β=1である場合、標準ガンマ分布の値が返されます。確率<0、または確率>1である場合、α<=0またはβ<=0である場合、エラー値
#NUM! が返されます。反復計算の手法が利用されるので、精度が±3x10-7以内になるまで反復計算が行われます。100 回反復計算を繰り返しても計算結果が収束しない場合、エラー値 #N/A が返されます。
使用例
次の図では、先の使用例GAMMADIST関数で求めた値を逆算しています。
[A]数式を入力する
[B]結果

EX4A387Z EX4A388Z
●GAMMALN関数
ガンマ関数 G(x) の値の自然対数を返す。
書式 GAMMALN(x)
x 求める数値を指定する
この関数の値は、次の数式で計算されます。
EX4A078Z EX4A079Z
使用例
[A]数式を入力する
[B]下に続くセルに複写する
図A 図B

EX4A389Z EX4A390Z
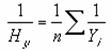
■累積分布関数
LOGINV 対数正規累積分布関数の逆関数の値を返す。
LOGNORMDIST 対数正規累積分布関数の値を返す。
●LOGNORMDIST関数
対数正規累積分布関数の値を返す。
書式 LOGNORMDIST(x, 平均, 標準偏差)
x 関数に代入する値を指定する。
平均 In (x) (x の自然対数) の平均値を指定する。
標準偏差 ln (x) (x の自然対数) の標準偏差を指定する。
対数正規分布関数は次のように定義されています。
EX4A092Z
使用例
[A]数式を入力する
[B]結果

EX4A399Z EX4A400Z
●LOGINV関数
対数正規型の累積分布関数の逆関数を返す。対数正規型分布は、対数的に変換されたデータを分析する場合に使用します。
書式 LOGINV(確率, 平均, 標準偏差)
確率 対数正規型分布に伴う確率を指定する。
平均 ln(x) の平均値を指定する。
標準偏差 ln(x) の標準偏差を指定する。
対数正規型分布関数の逆関数は、次の数式で表されます。
EX4A091Z
確率<=0または確率>=1である場合、標準偏差<=0である場合、エラー値#NUM!が返されます。
使用例
この例は、LOGNORMDIST関数で求めた確率からx値を逆算しています。
[A]数式を入力する
[B]結果

EX4A401Z EX4A402Z
■四分位数
●QUARTILE関数
配列に含まれるデータから四分位数を抽出します。
書式 QUARTILE(配列, 戻り値)
配列 対象となる数値データを指定する。
戻り値 戻り値として返される四分位数の内容を数値で指定する
戻り値 処理
0 データの最小値
1 下位4分の1(25%)
2 データの中央値(50%)
3 上位4分の1(75%)
4 データの最大値
配列にデータが含まれていないとき、または配列に8191を超えるデータが含まれているとき、エラー値 #NUM!が返されます。戻り値に小数点以下の値を指定しても切り捨てられます。戻り値<0または戻り値>4の場合、エラー値#NUM!が返されます。戻り値に0、2、4のいずれかの数値を指定すると、それぞれMIN関数、MEDIAN関数、MAX関数の戻り値に等しくなります。
使用例
[A]データ範囲の下位4分の1(25%)を求める数式
[B]結果
[C]データ範囲の最小値を求める数式
[D]結果
[E]データ範囲の中央値を求める数式
[F]結果
[A] [B]

EX4A431Z EX4A432Z
[C] [D]

EX4A433Z EX4A434Z
[E] [F]

EX4A435Z EX4A436Z
●RANK関数
範囲内の数値が何番目に位置するかを返す。
書式 RANK(数値, 範囲, 順序)
数値 範囲内での順位(位置)を調べる数値を指定する。
範囲 数値を含むセル範囲の参照または名前、または数値配列を指定する。
順序 範囲内の数値を並べ替える方法を指定する。
順序 処理
0 降順に並べ替え(省略)
1あるいは0以外 昇順で並べ替え
引数[範囲]内に含まれている数値だけが計算の対象となり、そこに含まれている文字列、空白セル、論理値は無視されます。また、範囲内にエラー値が含まれていると、そのエラー値が返されます。
重複した数値は同じ順位と見なされ、それ以降の数値の順位がずれます。たとえば、10が2度現れ、その順位が5であるとき、11の順位は7となります (順位は6が欠番)。
使用例
[A]数式を入力する
[B]下に続くセルに複写する
[C]結果
■回帰直線
RSQ ピアソンの積率相関係数を 2 乗した値を返す。
SLOPE 回帰直線の傾きを返す。
SKEW 分布の歪度を返す。
●RSQ関数
既知のyと既知のxを通過する回帰直線を対象に、r2の値を返す。
書式 RSQ(既知のy, 既知のx)
既知のy 直線回帰のデータを含む配列またはセル範囲を指定する
既知のx 直線回帰のデータを含む配列またはセル範囲を指定する
回帰直線のrの値は次のように定義されます。
EX4A100Z
使用例
[A]数式を入力する
[B]結果

EX4A437Z EX4A438Z
●SKEW関数
分布の歪度を返す。歪度とは、分布の平均値周辺での両側の非対称度を表す値です。正の歪度は対称となる分布が正の方向、負の歪度は対称となる分布が負の方向、の伸びを示します。
書式 SKEW(数値1, 数値2, ...)
数値1, 数値2... 分布の歪度を計算する値を指定する(最大30個まで)
分布の歪度は次の式で定義されます。
EX4A101Z
使用例
[A]数式を入力する
[B]結果
[A] [B]

EX4A439Z EX4A440Z
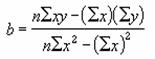
●SLOPE関数
既知のy と 既知のx のデータから回帰直線の傾き(2点間を結ぶ直線上の垂直方向の距離を水平方向の距離で除算した値)を返す。
書式 SLOPE(既知のy, 既知のx)
既知のy 従属変数の値を含む数値配列またはセル範囲を指定する
既知のx 独立変数の値を含む数値配列またはセル範囲を指定する
回帰直線の傾きは次のように定義されます。
EX4A102Z
使用例
[A]数式を入力する
[B]結果
[A] [B]

EX4A441Z EX4A442Z
■標準偏差
STDEV 母集団の標本を使って標準偏差を返す。
STDEVA 数値、文字列、および論理値を含む母集団の標本を使って標準偏差を返す。
STDEVP 母集団全体を対象に標準偏差を返す。
STDEVPA 数値、文字列、および論理値を含む母集団全体を対象に標準偏差を返す。
STEYX 回帰直線の個別の x の値に対する y の予測値の標準誤差を返す。
[標準偏差]
統計的な対象となる値がその平均(中数)からどれだけ広い範囲に分布しているかを計量したものです。
●STDEV関数
引数を母集団の標本であると見なして、母集団に対する標準偏差を返す。
書式 STDEV(数値1, 数値2, ...)
数値1, 数値2, ... 母集団の標本に対応する数値を指定する(最大30個まで)
数値として文字列、論理値、空白セルの参照を指定すると、エラーになります。論理値(TRUE、FALSEなど)、および文字列は無視されます。次の数式を使って標準偏差が計算されます。
EX4A104Z
使用例
[A]数式を入力する
[B]結果

EX4A540Z EX4A541Z
●STDEVA関数
標本に基づいて標準偏差を計算します。文字列や、TRUE、FALSE などの論理値も計算の対象となります。
書式 STDEVA(数値1, 数値2,...)
数値1, 数値2, ... 母集団の標本に対応する数値を指定する(最大30個まで)
次の数式を使って標準偏差を計算します。
EX4A105Z
使用例
[A]数式を入力する
[B]結果

EX4A542Z EX4A543Z
●STDEVP関数
引数を母集団全体であると見なして母集団の標準偏差を返す。
書式 STDEVP(数値1, 数値2, ...)
数値1, 数値2, ... 母集団の標本に対応する数値を指定する(最大30個まで)
計算の対象に文字列や論理値は含まれません。この関数は次の数式を使って標準偏差を計算します。
EX4A106Z
使用例
[A]数式を入力する
[B]結果

EX4A544Z EX4A545Z
●STDEVPA関数
文字列や論理値を含む引数を母集団全体と見なして、標準偏差を計算します。
書式 STDEVPA(数値1, 数値2,...)
数値1, 数値2, ... 母集団の標本に対応する数値を指定する(最大30個まで)
引数にTRUEが含まれる場合は1、文字列またはFALSEが含まれる場合は0(ゼロ)と見なされます。計算の対象に文字列や論理値を含めない場合は、STDEVP関数を使用します。この関数は次の数式を使って標準偏差を計算します。
EX4A107Z
使用例
[A]数式を入力する
[B]結果

EX4A546Z EX4A547Z
●STEYX関数
回帰直線の標準誤差を返す。標準誤差とは、個別のxの値に対するyの予測値の誤差の程度を計測するための尺度です。
書式 STEYX(既知のy, 既知のx)
既知のy 従属変数の値を配列またはセル範囲で指定する
既知のx 独立変数の値を配列またはセル範囲で指定する
yの予測値の標準誤差は次のように定義されます。
EX4A108Z
使用例
[A]数式を入力する
[B]結果

EX4A427Z EX4A428Z
■スチューデントのt分布
スチューデントのt分布に関係する関数は次の3つがあります。
TDIST関数 スチューデントのt分布の値を返す
TINV関数 スチューデントのt分布の逆関数の値を返す
TTEST関数 スチューデントのt分布に従う確率を返す
●TDIST関数
スチューデントの t 分布を返す。
書式 TDIST(x, 自由度, 尾部)
x t 分布を計算する数値を指定する。
自由度 分布の自由度を整数で指定する。
尾部 尾部の分布方法を指定する
尾部 分布
1 片側分布
2 両側分布
TDIST関数は、TDIST=p(x<X)として計算されます。ここで、X は t 分布に従うランダムな変数です。
使用例
[A]数式を入力する
[B]結果

EX4A423Z EX4A424Z
●TINV関数
自由度を指定して、スチューデントの t 分布の逆関数の値を返す。
書式 TINV(確率, 自由度)
確率 スチューデントの両側
t 分布に従う確率を指定する。
自由度 分布の自由度を指定する。
関数値の計算に反復計算の手法が利用されるので、計算結果の精度が±3x10-7以内になるまで反復計算が行われます。100回反復計算を繰り返しても計算結果が収束しない場合、エラー値#N/Aが返されます。
使用例
[A]数式を入力する
[B]結果

EX4A425Z EX4A426Z
●TTEST関数
スチューデントの t 分布に従う確率を返す。
書式 TTEST(配列1, 配列2, 尾部, 検定の種類)
配列1 1つ目の組のデータを含む配列またはセル範囲を指定する
配列2 2つ目の組のデータを含む配列またはセル範囲を指定する
尾部 尾部の分布方法を指定する
尾部 分布
1 片側分布
2 両側分布
検定の種類 実行する t 検定の種類を数値で指定する。
検定の種類 働き
1
対をなすデータの t 検定
2 等分散の 2 標本を対象とする t
検定
3 非等分散の 2 標本を対象とする t
検定
使用例
[A]数式を入力する
[B]結果
EX4A421Z
EX4A422Z
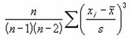
■データの尖度
●KURT関数
引数として指定したデータの尖度を返す。尖度とは、対象となるデータの分布を標準分布と比較して、度数分布曲線の相対的な鋭角度または平たん度を表した数値です。
書式 KURT(数値1, 数値2, ...)
数値11,数値2,... 尖度を計算する値を指定する(最大30個までょ
引数として指定した配列またはセル範囲に、文字列、論理値、または空白セルが含まれている場合、これらは無視されます。ただし、数値として 0 (ゼロ) を含むセルは計算の対象となります。4つ以上のデータがそろっていない場合、または標本の標準偏差が 0 (ゼロ) に等しい場合、エラー値
#DIV/0! が返されます。
尖度は次のように定義されます。
EX4A085Z
s は標本に基づいた標準偏差を表します。
使用例
[A]数式を入力する
[B]引数の個数が4以下は計算不能

EX4A395Z EX4A396Z

EX4A397Z EX4A398Z
作成手順
さて、どこから書き始めればいいのでしょう。

![]() |
![線吹き出し 3: [C]](clip_image117.gif)
![線吹き出し 3: [B]](clip_image190.gif)
![線吹き出し 3: [B]](clip_image164.gif)
![線吹き出し 3: [B]](clip_image118.gif)
![線吹き出し 3: [B]](clip_image025.gif)
![線吹き出し 3: [A]](clip_image165.gif)
![線吹き出し 3: [A]](clip_image119.gif)
![線吹き出し 3: [B]](clip_image272.gif)
![線吹き出し 3: [B]](clip_image267.gif)
![線吹き出し 3: [B]](clip_image182.gif)
![線吹き出し 3: [A]](clip_image174.gif)
![線吹き出し 3: [B]](clip_image158.gif)
![線吹き出し 3: [B]](clip_image146.gif)
![線吹き出し 3: [B]](clip_image139.gif)

![線吹き出し 3: [C]](clip_image100.gif)
![線吹き出し 3: [B]](clip_image095.gif)
![線吹き出し 3: [B]](clip_image030.gif)
![線吹き出し 3: [A]](clip_image273.gif)
![線吹き出し 3: [A]](clip_image264.gif)
![線吹き出し 3: [A]](clip_image183.gif)
![線吹き出し 3: [B]](clip_image175.gif)
![線吹き出し 3: [A]](clip_image159.gif)
![線吹き出し 3: [A]](clip_image147.gif)

![線吹き出し 3: [B]](clip_image110.gif)
![線吹き出し 3: [A]](clip_image107.gif)
![線吹き出し 3: [A]](clip_image031.gif)

