![線吹き出し 3: [A]](clip_image008.gif)
■直線と指数曲線
ここで紹介する関数は、直線的あるいは指数曲線的に変動する価格などの将来価値を予測するために利用します。配列数式で入力すると複数の結果を1つの数式で求めることができます。
TREND 直線的な変動値を返します。
LINEST 直線的な変動係数の値を返します。
GROWTH 指数曲線的な変動値を返します。
LOGEST 指数曲線的な変動係数の値を返します。
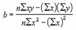
INTERCEPT 回帰直線の切片の値を返す。
●TREND関数
既知のyと既知のxのデータを直線に当てはめ(最小二乗法を使って)、その直線上で、指定した新しいxの配列に対するyの値を近似的に計算します。
書式 TREND(既知のy, 既知のx, 新しいx, 定数)
既知のy 既にわかっているyの値の系列(y=mx+b)
● 既知のyの配列が1つの列に入力されている場合、既知のxの各列はそれぞれ異なる変数であると見なされる
既知のx 既にわかっているxの値の系列(y=mx+b)
● 既知のxの配列には、1つまたは複数の変数の系列を指定することができる。変数の系列が 1 つである場合、既知のy と 既知のx は、両者の次元が同じであれば、どのような形の範囲であってもかまいません。変数の系列が複数である場合、既知のyは1行または1列の範囲でなければなりません。
● この引数は省略可。省略すると、既知のyと同じサイズ配列であると見なされる
新しいx 対応するxの値を指定する
● 新しいxには、既知のx と同様、それぞれ独立した変数が入力されている 1 つの列 (または 1 つの行) を指定する必要があります。その結果、既知のy が 1 つの列に入力されている場合、既知のx と 新しいx は同じ列数でなければなりません。また、既知のy が 1 つの行に入力されている場合、既知のx と 新しいx は同じ行数でなければなりません。
● この引数を省略すると、既知のxと同じ値であると見なされます。
● 既知のxと新しいxの両方を省略すると、既知のyと同じサイズの配列であると見なされる。
定数 定数bを0にするかどうかを、論理値で指定します。
● 定数 に TRUE を指定するか省略すると、b の値も計算されます。
● 定数 に FALSE を指定すると、b の値が 0(ゼロ) に設定され、y =
mx となるように m の値が調整されます。
引数[既知のx]を省略すると引数[既知のy]で指定したリストと同じ数の1から始まる連番配列{1;2;3;4;5;6;7;・・・}が既定値として採用されます。
使用例
ある価値が堅実な伸びを示しているときの価格の伸びを予測してみましょう。図Aは求められる値がどのように変化するかを確認するために、等間隔で増加むするデータの将来価値を求めています。
@結果を表示するセル範囲を選択する
A数式を入力する
◆[SHIFT]+[CTRL]キーを押しながら[Enter]キーを押す
[A]結果が求められる
セルF9の12月分が#N/Aになっているのは、選択した範囲のセル数よりも数式内の新しいxのデータ数が少ないためです。{7;8;9;10;11;}なのに選択したセル範囲は12月分までだからです。
EX4A557Z
EX4A558Z
結果を1つだけ求める場合は、配列数式ではなく通常の数式として入力します。
@数式を入力する
◆[Enter]キーを押す
[A]結果が求められる
図A

EX4A559Z EX4A169Z
◆セルF4〜F9を選択する
◆数式を入力する
=TREND(C4:C12,,{10;11;12;13;14})
◆[SHIFT]+[CTRL]キーを押しながら[Enter]キーを押す
[A]結果が求められる
新しいxは求める順番を表すので、図Bのように12月の次が1月であっても、引数としては13になります。引数を以下のようにすると正しく求められません。
=TREND(C4:C12,,{10;11;12;1;2})
↑ ↑
図B
EX4A168Z
●LINEST関数
最小二乗法を使って、指定したデータに最もよく当てはまる直線を算出し、この直線を記述する係数と y 切片との配列を返します。この関数では、値は配列として返され、配列数式として入力されます。
書式 LINEST(既知のy, 既知のx, 定数, 補正)
既知のy 既にわかっているyの値の系列(y=mx+b)
既知のx 既にわかっているxの値の系列(y=mx+b)
定数 定数bの処理方法を論理値で指定する
TRUE bの値も計算する(省略値)
FALSE bの値を0にしてy=mxに調整する
補正 回帰直線の補正項の情報
TRUE 回帰直線の補正項が返される
FALSE 係数mと定数bのみの配列が返される(省略値)
既知のx を省略すると、既知のy と同じサイズの {1,2,3,...} という配列であると見なされます。次の数式を使って m と b の値が計算されます。
EX4A087Z
EX4A088Z
使用例
図のような6個のデータがあるとき、7つ目のデータ値を予測してみましょう。
@数式を入力する
[A]結果が求められる

EX4A561Z EX4A562Z
同じように10個目のデータは次のように予測できます。この関数では、係数を返すのでSUM関数とかけ算を組み合わせて値を求めるようにします。

EX4A563Z EX4A564Z
●GROWTH関数
指定された既知のyと既知のxのデータを使用して新しいxの配列に対するyの値を計算します。
書式 GROWTH(既知のy, 既知のx, 新しいx, 定数)
既知のy 既にわかっているyの値の系列(y=b*m^x)
既知のx 既にわかっているxの値の系列(y=b*m^x)
新しいx 新しいxの値を指定します。
定数 定数bを1にするかどうかを、論理値で指定します。
TRUE bの値も計算する(省略時)
FALSE bの値を1に設定する(y=m^x)
既知のx を省略すると、既知のy と同じサイズの {1,2,3...} という配列を指定したと見なされます。
使用例
各期の売上額から将来の売上額を予測すると、図のように求められます。
@結果を表示するセル範囲を選択する
A数式を入力する
◆[SHIFT]+[CTRL]キーを押しながら[Enter]キーを押す
[A]結果が求められる
既知のxと新しいxを数式に直接入力する場合は、[B]のように{}で囲んで値を入力します。
EX4A552Z
EX4A553Z
EX4A554Z
●LOGEST関数
曲線を表す係数の配列の値を返します。
書式 LOGEST(既知のy, 既知のx, 定数, 補正)
既知のy 既にわかっているyの値の系列(y=b*m^x)
既知のx 既にわかっているxの値の系列(y=b*m^x)
定数 定数bを1にするかどうかを、論理値で指定します。
TRUE bの値も計算する(省略時)
FALSE bの値を1に設定する(y=m^x)
補正 回帰直線の補正項の情報
TRUE 回帰直線の補正項が返される
FALSE 係数mと定数bのみの配列が返される(省略値)
指数曲線は次の数式で表されます。
y = b*m^x
また、独立変数が複数ある場合は
y =
(b*(m1^x1)*(m2^x2)*_)
使用例
GROWTH関数と同じデータを使って結果(係数)を求めてみましょう。
@結果を表示するセル範囲を選択する
A数式を入力する
◆[SHIFT]+[CTRL]キーを押しながら[Enter]キーを押す
[A]結果が求められる
EX4A555Z
EX4A556Z
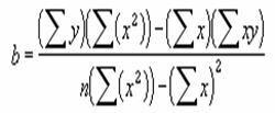
●INTERCEPT関数
既知のxと既知のyを通過する線形回帰直線の切片(既知のxと既知のyの値を通過する回帰直線がy軸と交わる座標)を計算します。この切片は、
書式 INTERCEPT(既知のy, 既知のx)
既知のy 観測またはデータの従属範囲を指定する
既知のx 観測またはデータの独立範囲を指定する
回帰直線の切片は、次の数式で表されます。
EX4A083Z
また、回帰直線の傾きは、次の数式で表されます。
EX4A084Z
使用例
[A]数式を入力する
[B]結果
![]() |
|||
![]() |
|||

EX4A393Z EX4A394Z
【まとめ】
TREND 直線上の値を返します。
LINEST 直線の係数の値を返します。
GROWTH 指数曲線上の値を返します。
LOGEST 指数曲線の係数の値を返します。
INTERCEPT 回帰直線の切片の値を返す。
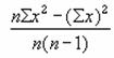
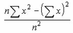
■母集団と標本の分散
ある値の集まりに対する分散を求める関数は次の4つがあります。値の集まりを母集団の標本と見なして計算する関数と母集団全体と見なして計算する関数があります。
VAR関数 母集団の標本に対する分散
VARA関数 母集団の標本に対する分散(文字列、論理値を含む)
VARP関数 母集団全体と見なした分散
VARPA関数 母集団全体と見なした分散(文字列、論理値を含む)
●VAR関数
引数を母集団の標本であると見なして、母集団に対する分散を返します。
書式 VAR(数値1, 数値2, ...)
数値1, 数値2, ... 母集団の標本に対応する数値を指定する(最大30個)
数値に文字列、論理値、空白セルは無視されます。この関数は次の数式を使って分散を計算されます。
EX4A109Z
●VARA関数
標本に対する分散を計算します。文字列や、TRUE、FALSEなどの論理値も計算の対象となる。
書式 VARA(数値1, 数値2,...)
数値1, 数値2, ... 母集団の標本に対応する数値を指定する(最大30個)
引数にTRUEが含まれている場合は1と見なされ、文字列またはFALSEが含まれている場合は0
(ゼロ)と見なされます。この関数は次の数式を使って分散が計算されます。
EX4A110Z
●VARP関数
引数を母集団全体であると仮定して、母集団の分散を返します。
書式 VARP(数値1, 数値2, ...)
数値1, 数値2, ... 母集団全体に対応する数値を指定する(最大30個)
数値として文字列、論理値、空白セルは無視されます。この関数は次の数式を使って分散が計算されます。
EX4A111Z
●VARPA関数
引数を母集団全体と見なして、分散を計算します。数値以外に、文字列や、TRUE、FALSE などの論理値も計算の対象になる
書式 VARPA(数値1, 数値2,...)
数値1, 数値2,... 母集団全体に対応する数値を指定します(最大30個)
引数を母集団全体であると見なします。指定する数値が母集団の標本である場合は、VARA関数を使って分散を計算します。引数にTRUEが含まれる場合は1と見なされ、文字列またはFALSEが含まれる場合は0(ゼロ)と見なされます。VARPA
関数は次の数式を使って分散を計算します。
EX4A112Z
使用例
楽器の生産ラインで製造されたリコーダーから10本を無作為に抽出し、中間の内径を測定したところ、図Aの値になりました。これらの値を母集団の標本と見なした場合と、母集団全体であると仮定した場合の分散値を比べてみましょう。分散値が大きくなれば、金型の老化や摩耗が考えられるので交換時期が判断できます。
図A 図B

EX4A191Z EX4A192Z
G5 :=VAR(B5:B14)
G5 :=VARA(B5:B14)
G5 :=VARP(B5:B14)
G5 :=VARPA(B5:B14)
図Bでは不良品をTRUEあるいは”不良”で表して、TRUEと文字データを省いた計算値(G5とG9の結果)と含めた計算値(G7とG11の結果)の違いを比べています。
【まとめ】
VAR 母集団の標本を使って分散を返します。
VARA 数値、文字列、および論理値を含む母集団の標本を使って分散を返します。
VARP 母集団全体を対象に分散を返します。
VARPA 数値、文字列、および論理値を含む母集団全体を対象に分散を返します。
■ワイブル分布
●WEIBULL関数
ワイブル分布の値を返す。機械が故障するまでの平均時間のような信頼性の分析に使用されます。
書式 WEIBULL(x, α, β, 関数形式)
x 関数に代入する数値を指定する。
α 分布のパラメータを指定する。
β 分布のパラメータを指定する。
関数形式 使用する関数の形式を論理値で指定する。
論理値 計算方法
TRUE 累積分布関数で計算する
FALSE 確率密度関数で計算する
引数x<0の場合、α<=0またはβ<=0である場合、エラー値
#NUM! が返されます。ワイブル累積分布関数は式1、ワイブル確率密度関数は式2で定義されます。
式1 式2
EX4A113Z EX4A114Z
α=1の場合、次の式で定義される指数分布関数の値が計算されます。
EX4A115Z
使用例
図Aでは、同じ引数を関数形式を変えて計算しています。
EX4A189Z
E8 :=WEIBULL($C$5,$C$6,$C$7,C8)
E9 :=WEIBULL($C$5,$C$6,$C$7,C9)
■累積確率密度関数
累積確率密度関数には、累積β確率密度関数と逆関数があります。累積確率密度は、データの割合を算出するときに使用します。
●BETADIST関数
累積β確率密度を返します。複数の標本を対象に割合の変化を分析する場合などに使用します。
書式 BETADIST(x, α, β, A, B)
x 区間A〜Bの範囲で、評価する瞬間を指定します。
α 確率分布に対するパラメータを指定します。
β 確率分布に対するパラメータを指定します。
A xの区間の下限を指定します(省略可)
B xの区間の上限を指定します(省略可)
α<=0またはβ<=0である場合、あるいはx < A、x > B、または A = B
である場合、エラー値 #NUM! が返されます。引数AおよびBを省略した場合、標準累積β分布が使用され、A = 0 および B = 1 として計算が行われます。
使用例
図Aのデータで確率を求めると約0.5659であることが分かります。
EX4A178Z
E5 :=BETADIST(C5,C6,C7,C8,C9)
●BETAINV関数
累積β確率密度関数の逆関数を返します。確率=BETADIST(x,...)であるとき、BETAINV(確率,...)=xという関係が成り立ちます。
書式 BETAINV(確率, α, β, A, B)
確率 β確率分布に伴う確率を指定します。
α 確率分布のパラメータを指定します。
β 確率分布のパラメータを指定します。
A x の区間の下限を指定します(省略可)
B x の区間の上限を指定します(省略可)
α<=0 または β<=0 である場合、あるいは確率<=0 または 確率 > 1 である場合、エラー値
#NUM!が返されます。AおよびBを省略すると、標準累積β分布が使用され、A =
0 および B = 1 として計算が行われます。計算には、精度が±3x10-7以内になるまで反復計算の手法が使用されるので、反復計算を100回行っても結果が収束しない場合は、エラー値 #N/A が返されます。
使用例
先のBETADIST関数で求めた確率を逆算すると、Xは4.99998であることが求められます。5にならないのは小数点以下の桁数による計算精度による。
EX4A179Z
E5
:=BETAINV(C5,C6,C7,C8,C9)
【まとめ】
BETADIST 累積確率密度の値を返します。
BETAINV 累積確率密度の逆関数の値を返します。
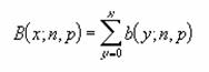
■二項分布
二項分布に関係する関数には、BINOMDIST関数、CRITBINOM関数、NEGBINOMDIST関数、PERMUT関数、PROB関数、HYPGEOMDIST関数、があります。
BINOMDIST関数 二項分布の確率
CRITBINOM関数 累積二項分布の最小の値
NEGBINOMDIST関数 負の二項分布
PERMUT関数 標本数の順列
PROB関数 下限と上限間の確率
HYPGEOMDIST関数 超幾何分布関数の値
●BINOMDIST関数
個別項の二項分布の確率を返します。たとえば、コインを投げた結果、表が出るか、裏が出るかの二者択一の確率を求めることができます。求める確率は次の条件に当てはまる現象が条件になります。
試行の結果が成功または失敗のいずれかである
試行が独立したものである
実験を通して成功の確率が一定である
書式 BINOMDIST(成功数, 試行回数, 成功率, 関数形式)
成功数 試行回数に含まれる成功の回数を指定します。
試行回数 試行の回数を指定します。
成功率 1回の試行が成功する確率を指定します。
関数形式 計算方法を論理値で指定します。
論理値 方法
TRUE 累積分布関数で計算する
FALSE 確率密度関数で計算する
成功数、試行回数に整数で指定する(小数点以下は切り捨てられる)。成功数<0または成功数>試行回数である場合、あるいは成功率 < 0 または 成功率 > 1 である場合、エラー値 #NUM! が返されます。二項確率密度関数は、次の数式で表されます。
EX4A056Z
ここで
EX4A057Z
は COMBIN(n,x) を表します。
二項累積分布関数は、次の数式で表されます。
EX4A058Z
使用例
図Aは、コインを投げた結果は、表が出るか、裏が出るかの確率を求めています。コインを1回投げて表が出る確率を0.5として、10回投げて表が8回出る確率を求めています。
EX4A180Z
E5
:=BINOMDIST(C5,C6,C7,C8)
●CRITBINOM関数
累積二項分布の値が基準値以上になるような最小の値を返します。この関数では、商品の生産ラインでロット全体で許容できる欠陥部品数の最大値を決定することができます。
書式 CRITBINOM(試行回数, 成功率, α)
試行回数 ベルヌーイ試行の回数を指定します。
成功率 1 回の試行が成功する確率を指定します。
α 基準値を指定します。
試行回数に整数以外の値を指定すると小数点以下が切り捨てられます。試行回数<0である場合、あるいは成功率 <= 0 または 成功率 >=
1である場合、あるいは α < 0 または α > 1である場合、エラー値
#NUM! が返されます。
使用例
EX4A181Z
E5 :=CRITBINOM(C5,C6,C7)
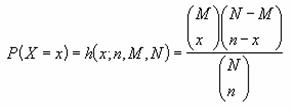
●HYPGEOMDIST関数
超幾何分布関数の値を返します。指定された標本数、母集団の成功数、母集団の大きさから、一定数の標本が成功する確率を計算します。
書式 HYPGEOMDIST(標本の成功数, 標本数, 母集団の成功数, 母集団の大きさ)
標本の成功数 標本内で成功する数を指定します。
標本数 標本数を指定します。
母集団の成功数 母集団内で成功する数を指定します。
母集団の大きさ 母集団全体の数を指定します。
超幾何分布は次の式で与えられます。
EX4A082Z
x = 標本の成功数
n = 標本数
M = 母集団の成功数
N = 母集団の大きさ
使用例
商店街のイベントで抽選会を行うことになりました。特等5本、1等10本、2等20本、3等65本、の計100本のくじ引き券で抽選をおこないます。ある人が1回の抽選を行いました。この人が各当を当てる確率は図Aのように計算できます。確率を%で表示する場合はセルG5:G8の表示形式を%スタイルに設定します。各引数の意味は以下のとうりです。(この例では抽選を行うごとに引数の値が変化することを考慮していません)
標本の成功数 ・・・ 当選する本数
標本数 ・・・ 抽選を行う回数
母集団の成功数 ・・・ 当たりくじの数
母集団の大きさ ・・・ くじ全体の数
図A
EX4A182Z
G5
:=HYPGEOMDIST($C$5,$C$6,F5,$C$8)
G6
:=HYPGEOMDIST($C$5,$C$6,F6,$C$8)
G7
:=HYPGEOMDIST($C$5,$C$6,F7,$C$8)
G8
:=HYPGEOMDIST($C$5,$C$6,F8,$C$8)
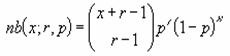
●NEGBINOMDIST関数
負の二項分布を返します。試行の成功率が一定のとき、成功数で指定した回数の試行が成功する前に、失敗数で指定した回数の試行が失敗する確率を計算できます
書式 NEGBINOMDIST(失敗数, 成功数, 成功率)
失敗数 試行が失敗する回数を指定します。
成功数 試行が成功する回数を指定します。
成功率 試行が成功する確率を指定します。
失敗数、成功数に小数点以下の値を指定しても切り捨てられます。成功率<=0、または成功率>= 1である場合、あるいは(失敗数+成功数-1)<=0である場合、エラー値#NUM!が返されます。負の二項分布は次のように定義されます。
EX4A093Z
x = 失敗数
r = 成功数
p = 成功率
使用例
EX4A183Z
E5
:=NEGBINOMDIST(C5,C6,C7)
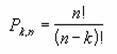
●PERMUT関数
標本数から抜き取り数を選択する場合の順列を返します。
書式 PERMUT(標本数, 抜き取り数)
標本数 対象の総数を整数で指定します。
抜き取り数 対象の個数を整数で指定します。
引数に小数点以下の値を指定しても切り捨てられます。標本数、抜き取り数に数値以外の値を指定すると、エラー値#VALUE!が返されます。標本数<=0または抜き取り数<0の場合、標本数<抜き取り数である場合、エラー値 #NUM! が返されます。順列は次の式で計算されます。
EX4A097Z
使用例
番号が1〜5の数を3桁並べた場合、組み合わせ順列の総数は図Aのように計算できます。
EX4A184Z
E5 :=PERMUT(C5,C6)
●PROB関数
x範囲に含まれる値が下限と上限との間に収まる確率を返します。
書式 PROB(x範囲, 確率範囲, 下限, 上限)
x範囲 確率範囲と対応関係にある数値xを含むセル範囲を指定します。
確率範囲 x範囲に含まれるそれぞれの数値に対応する確率を指定します。
下限 対象となる数値の下限を指定します。
上限 対象となる数値の上限を指定します(省略可)
上限を省略すると、x範囲に含まれる値が下限と等しくなる確率が計算されます。
確率範囲に含まれる値が0未満または1を超えるとき、確率範囲に含まれる値の合計が1にならないとき、エラー値 #NUM! が返されます。x囲と確率範囲のデータの個数が異なると、エラー値 #N/A が返されます。x範囲と確率範囲は配列定数で指定することができる。
使用例
EX4A185Z
G5
:=PROB(D5:D8,E5:E8,C5,C6)
【まとめ】
BINOMDIST 個別項の二項分布の確率を返します。
CRITBINOM 累積二項分布の値が基準値以上になるような最小の値を返します。
HYPGEOMDIST 超幾何分布関数の値を返します。
NEGBINOMDIST 負の二項分布を返します。
PERMUT 与えられた標本の個数から指定した個数を選択する場合の順列を返します。
PROB 指定された範囲に含まれる値が上限と下限との間に収まる確率を返します。
■カイ2乗
カイ 2 乗を求める関数は次の3つがあります。
CHIDIST関数 片側カイ2乗(χ2)分布の確率
CHIINV関数 カイ2乗(χ2)分布の逆関数
CHITEST関数 カイ2乗(χ2)検定
●CHIDIST関数
片側カイ2乗(χ2)分布の確率を返します。
書式 CHIDIST(x, 自由度)
x 分布を評価する値を指定します。
自由度 自由度を指定します。
引数xに負の数を指定すると、エラー値 #NUM! が返されます。自由度に整数以外の値を指定すると、小数点以下が切り捨てられます。自由度<1または自由度=>1010である場合、エラー値 #NUM! が返されます。
●CHIINV関数
カイ2乗 (χ2)分布の逆関数を返します。
書式 CHIINV(確率 自由度)
確率 χ2分布に伴う確率を指定します。
自由度 自由度を指定します。
自由度 に整数以外の値を指定すると、小数点以下が切り捨てられます。確率<0または確率>1である場合、 自由度<1または自由度>=1010である場合、エラー値
#NUM! が返されます。計算結果の精度が±3E-7以内になるまで反復計算が行われ、反復計算を100回行っても結果が収束しない場合は、エラー値#N/A が返されます。
使用例
EX4A186Z
E5 :=CHIDIST(C5,C6)
E12:=CHIINV(C12,C13)
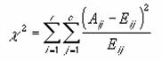
●CHITEST関数
カイ2乗(χ2)検定を行います。
書式 CHITEST(実測値範囲, 期待値範囲)
実測値範囲 検定の実測値が入力されているデータ範囲を指定します。
期待値範囲 期待値が入力されているデータ範囲を指定します。
実測値と期待値では、行方向の値の合計と列方向の値の合計がそれぞれ等しくなっている必要があります。実測値範囲と期待値範囲に含まれるデータの個数が異なる場合、エラー値 #N/A が返されます。χ2検定では、まずχ2統計量が計算され、次に実測値と期待値の差が加算されます。計算値は等式CHITEST=p(X>χ2)で表されます。χ2統計量と自由度dfに対する確率が計算されます。このとき、df = (r-1)(c-1) となります。
EX4A059Z
Aij = i 行 j 列内の実測値の度数
(実測値頻度)
Eij = i 行 j 列内の期待値の度数
(期待値頻度)
r = 行数
c = 列数
使用例
EX4A187Z
F6
:=CHITEST(C12:D14,C6:D8)
【まとめ】
CHIDIST カイ 2 乗分布の片側確率を返します。
CHIINV カイ 2 乗分布の逆関数の値を返します。
CHITEST カイ 2 乗検定を行います。
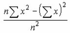
■標本の平均値に対する偏差の平方和
標本の平均値に対する各データの偏差の平方和を返します。
書式 DEVSQ(数値1, 数値2, ...)
数値1,数値2,... 偏差の平方和を求める数値を指定する(最大30個まで)
偏差の平方和は、次の数式で表されます。
EX4A565Z
使用例
[A]数式を入力する
[B]結果

EX4A566Z EX4A567Z
[C]数式を入力する
[D]空白セルを含む場合の結果
![]() |

EX4A568Z EX4A569Z
作成手順
さて、どこから書き始めればいいのでしょう。

![]() |
![線吹き出し 3: [B]](clip_image114.gif)
![線吹き出し 3: [A]](clip_image115.gif)
![線吹き出し 3: [D]](clip_image121.gif)
![線吹き出し 3: [A]](clip_image045.gif)

![線吹き出し 3: [B]](clip_image038.gif)


![線吹き出し 3: [A]](clip_image035.gif)
![線吹き出し 3: [A]](clip_image005.gif)

![線吹き出し 3: [A]](clip_image021.gif)



![線吹き出し 3: [A]](clip_image014.gif)
