3-3 数学三角関数(数値の計算)
![]()
___
■三角関数
指定した角度のサイン値やコサイン値、あるいはタンジェント値を求めるには、SIN関数、COS関数、TAN関数を使います。
書式 SIN(数値) 指定した角度のサイン値を返す
COS(数値) 指定した角度のコサイン値を返す
TAN(数値) 指定した角度のタンジェント値を返す
引数(数値)は、計算する角度(数値)をラジアン単位で指定する。角度が度(デジアン)を単位として表されている場合は、PI()/180 をかけてラジアンに変換、あるいは角度変換関数を使い変換した値で指定する。ラジアンは円周を0〜6.28(2π)で表す値のことです。求めた値が正数の場合は左廻り(反時計方向)、負数の場合は右廻り(時計方向)を表する。
使用例
次の例は、角度に対するサイン、コサイン、タンジェント値を求めています。図中の上側では、ラジアン値を元に計算して、下側では角度をRADIANS関数でラジアン値に変換した値で計算するようにしています。セルC15(求めた値-2.4503E-16)のように非常に小さい値はゼロの近似値になります。
|
|
1.57
![]() |
3.14 0
![]()
6.28=0
4.71
EX4A130Z
C4:=SIN(B4) D4:=COS(B4) E4:=TAN(B4)
C5:=SIN(B5) C5:=COS(B5) C5:=TAN(B5)
C6:=SIN(B6) C6:=COS(B6) C6:=TAN(B6)
C7:=SIN(B7) C7:=COS(B7) C7:=TAN(B7)
C8:=SIN(B8) C8:=COS(B8) C8:=TAN(B8)
C9:=SIN(B9) C9:=COS(B9) C9:=TAN(B9)
C12:=SIN(RADIANS(B12)) D12:=COS(RADIANS(B12)) E12:=TAN(RADIANS(B12))
C13:=SIN(RADIANS(B13)) D13:=COS(RADIANS(B13)) E13:=TAN(RADIANS(B13))
C14:=SIN(RADIANS(B14)) D14:=COS(RADIANS(B14)) E14:=TAN(RADIANS(B14))
C15:=SIN(RADIANS(B15)) D15:=COS(RADIANS(B15)) E15:=TAN(RADIANS(B15))
C16:=SIN(RADIANS(B16)) D16:=COS(RADIANS(B16)) E16:=TAN(RADIANS(B16))
C17:=SIN(RADIANS(B17)) D17:=COS(RADIANS(B17)) E17:=TAN(RADIANS(B17))
F12:=RADIANS(B12)
F13:=RADIANS(B13)
F14:=RADIANS(B14)
F15:=RADIANS(B15)
F16:=RADIANS(B16)
F17:=RADIANS(B17)
●求めた値が「?」になる
小数点以下の桁数を変更するために、ツールバーの[小数点表示桁上げ][小数点表示桁下げ]ボタンをクリックすると「?」(図A)に変わることがあります。この現象はセルの表示形式に問題があります。
EX4A131Z
値ではなく「?」が表示されたセルを右クリックしてショートカットメニューの[セルの書式設定]を選択して表示形式を見てください。種類の欄に「0.000E+00;?」が表示されています。この形式のゼロ表示の部分に?が入力されているので、ゼロ、あるいは非常にゼロに近い値のとき、「?」が表示されるのです。「?」ではなく「0」を表示させる場合、表示形式に0.00を選択し直する。形式を0.00に設すれば、ツールバーの[小数点表示桁上げ][小数点表示桁下げ]ボタンで桁数を任意に変更することができます。
r>操作
[A]変更するセルを選択して[セルの書式設定]ダイアログボックスを開く
@[表示形式]タブをクリックする
[B]現在の表示形式が表示される
A一覧内の0.00を選択する
B[OK]をクリックする
[C]値が表示される
分類[ユーザー設定]に0.00が見あたらないときは、入力欄(図[B])に直接入力してください。
![]() |
EX4A132Z

EX4A133Z EX4A139Z
【まとめ】
SIN 数値のサインを返する。
COS 数値のコサインを返する。
TAN 数値のタンジェントを返する。
■逆三角関数
数値の逆三角関数(逆三角のことをアークという)、アークサイン、アークコサイン、アークタンジェント、を求める関数があります。
●ACOS関数
数値のアークコサインを返する。戻り値の角度は、0(ゼロ)〜π(パイ)の範囲のラジアンで返されます。
書式 ACOS(数値)
数値 求める角度のコサインの値を、-1 〜 1の範囲で指定する
●ASIN関数
数値のアークサインを返する。戻り値の角度は、-π/2〜π/2の範囲のラジアンで返されます。
書式 ASIN(数値)
数値 求める角度のサインの値を、-1〜1の範囲で指定する
●ATAN関数
数値のアークタンジェントを返する。戻り値の角度は、-π/2〜π/2の範囲のラジアンで返されます。
書式 ATAN(数値)
数値 求める角度のタンジェントの値を指定する。
逆三角関数の値を度で表すには、計算結果に180/PI()を掛ける、あるいはDEGREES関数で度に変換します。180/PI()を使った計算式を入力したとき、セルに?が表示された場合、表示形式を適切に設定し直してください。(詳細はP___参照)
使用例
図Aはラジアンで指定する角度に対する逆三角関数の値と、求めた値を度に変換した値を求めています。
EX4A134Z
入力する数式
C4 =ASIN(B4) D4 =DEGREES(C4)
C5 =ASIN(B5) D5 =DEGREES(C5)
C6 =ASIN(B6) D6 =DEGREES(C6)
C7 =ASIN(B7) D7 =DEGREES(C7)
C8 =ASIN(B8) D8 =DEGREES(C8)
C9 =ASIN(B9) D9 =DEGREES(C9)
E4 =ACOS(B4) F4 =DEGREES(E4)
E5 =ACOS(B5) F5 =DEGREES(E5)
E6 =ACOS(B6) F6 =DEGREES(E6)
E7 =ACOS(B7) F7 =DEGREES(E7)
E8 =ACOS(B8) F8 =DEGREES(E8)
E9 =ACOS(B9) F9 =DEGREES(E9)
G4 =ATAN(B4) H4 =DEGREES(G4)
G5 =ATAN(B5) H5 =DEGREES(G5)
G6 =ATAN(B6) H6 =DEGREES(G6)
G7 =ATAN(B7) H7 =DEGREES(G7)
G8 =ATAN(B8) H8 =DEGREES(G8)
G9 =ATAN(B9) H9 =DEGREES(G9)
【まとめ】
ASIN,ACOS,ATAN
* ACOS 数値のアークコサインを返する。
* ASIN 数値のアークサインを返する。
* ATAN 数値のアークタンジェントを返する。
■ハイパーボリック三角関数
数値の双曲線関数(ハイパーボリック)、ハイパーボリックサイン、ハイパーボリックコサイン、ハイパーボリックタンジェント、を求める関数があります。
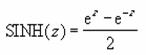
●SINH関数
数値の双曲線正弦 (ハイパーボリック サイン) を返す
書式 SINH(数値)
数値 双曲線正弦を求める数値を指定する。
双曲線正弦 (ハイパーボリック サイン) は次の数式で計算されます。
EX4A123Z
引数の指定できる範囲は、計算結果が有効桁数範囲内まで可能です。結果がオーバーフロー(有効桁数を越える値)のとき#NUM!が表示されます。
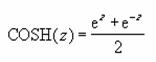
●COSH関数
数値の双曲線余弦 (ハイパーボリック コサイン) を返する。
書式 COSH(数値)
双曲線余弦は、次の数式で表されます。
EX4A054Z
●TANH関数
数値の双曲線正接(ハイパーボリック タンジェント) を返する。
書式 TANH(数値)
数値 実数を指定する。
双曲線正接は、次の数式で表されます。
EX4A127Z
使用例
図Aはラジアンで指定する角度に対する双曲線関数の値を求めています。なお、求めた値を度に変換する場合は、計算結果に180/PI()を掛ける、あるいはDEGREES関数で度に変換します。
図A
EX4A135Z
C4 =SINH(B4) D4 =COSH(B4) E4 =TANH(B4)
C5 =SINH(B5) D4 =COSH(B5) E4 =TANH(B5)
C6 =SINH(B6) D4 =COSH(B6) E4 =TANH(B6)
C7 =SINH(B7) D4 =COSH(B7) E4 =TANH(B7)
C8 =SINH(B8) D4 =COSH(B8) E4 =TANH(B8)
C9 =SINH(B9) D4 =COSH(B9) E4 =TANH(B9)
【まとめ】
SINH,COSH,TANH
* COSH 数値のハイパーボリック コサインを返する。
* TANH 数値のハイパーボリック タンジェントを返する。
* SINH 数値のハイパーボリック サインを返する。
■ハイパーボリック逆三角関数
数値の双曲線逆関数(ハイパーボリックアーク)、ハイパーボリックアークサイン、ハイパーボリックアークコサイン、ハイパーボリックアークタンジェント、を求める関数があります。
●ACOSH関数
数値の双曲線逆余弦 (ハイパーボリック コサインの逆関数) を返する。
書式 ACOSH(数値)
数値 1 以上の実数を指定する。
●ASINH関数
数値の双曲線逆正弦 (ハイパーボリック サインの逆関数) を返する。
書式 ASINH(数値)
数値 実数を指定する。
●ATANH関数
数値の双曲線逆正接(ハイパーボリック タンジェントの逆関数)を返する。
書式 ATANH(数値)
数値 -1より大きく1より小さい実数を指定する。
使用例
エラー#NUM!は計算不能を表しています。値に対する結果がないということです。
EX4A136Z
C4 =ASINH(B4) D4 =ACOSH(B4) E4 =ATANH(B4)
C5 =ASINH(B5) D4 =ACOSH(B5) E4 =ATANH(B5)
C6 =ASINH(B6) D4 =ACOSH(B6) E4 =ATANH(B6)
C7 =ASINH(B7) D4 =ACOSH(B7) E4 =ATANH(B7)
C8 =ASINH(B8) D4 =ACOSH(B8) E4 =ATANH(B8)
C9 =ASINH(B9) D4 =ACOSH(B9) E4 =ATANH(B9)
C10 =ASINH(B10) D10 =ACOSH(B10) E10 =ATANH(B10)
【まとめ】
* ACOSH 数値のハイパーボリック アークコサインを返する。
* ASINH 数値のハイパーボリック アークサインを返する。
* ATANH 数値のハイパーボリック アークタンジェントを返する。
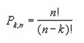
■x-y座標のアークタンジェント
指定する(x,y)座標のアークタンジェントはATAN2関数で求めます。アークタンジェントは、x軸から原点0と(x,y)座標を通る直線の傾きのことです。戻り値は、-π〜π(ただし-π=πなので−πを除く)の範囲のラジアン値になります。
書式 ATAN2(x座標, y座標)
x座標 点のx座標を指定する
y座標 点のy座標を指定する
解説
戻り値が正の数ならx軸から反時計回りの角度を表し、負の数ならx軸から時計回りの角度を表する。直線の傾き(起き上がり角度)はATAN(Y/X)で求められますが、Xが0の場合0除算エラー(#DIV/0)になり計算不能になります。しかし、X=0は±90度になるので計算不能では実用的でありません。ATAN2関数では、Xに0を指定することができます。ただし、xとy座標が両方とも0である場合、エラー値#DIV/0が返されます。
使用例
|
|
次の例は、原点(0,0)から(X,Y)点を通る直線の起き上がり角度を求めています。返される値はラジアン値になるので、角度として求める場合は、DEGREES関数(あるいは180/PI()を掛ける)を使って度に変換する。
![]() |
10
45゚
0 10
EX4A137Z
入力する数式
D4 :=ATAN2(B4,C4) E4 :=DEGREES(D4)
D5 :=ATAN2(B5,C5) E5 :=DEGREES(D5)
D6 :=ATAN2(B6,C6) E6 :=DEGREES(D6)
D7 :=ATAN2(B7,C7) E7 :=DEGREES(D7)
D8 :=ATAN2(B8,C8) E8 :=DEGREES(D8)
D9 :=ATAN2(B9,C9) E9 :=DEGREES(D9)
D10:=ATAN2(B10,C10) E10:=DEGREES(D10)
D11:=ATAN2(B11,C11) E11:=DEGREES(D11)
D12:=ATAN2(B12,C12) E12:=DEGREES(D12)
【まとめ】
* ATAN2 x-y
座標の値からアークタンジェントを返する。
■円周率と角度単位の関数
円周率は3.14だということはよく知られていることですが、円周率を表す関数を使うと15桁の精度で円周率を指定できます。また、角度は1周を360度とした単位と6.28(2π)としたラジアンという単位があり、相互に変換する関数もあります。
●PI関数
円周率πの近似値を3.14159265358979を返する。この数値の精度は15桁です。
書式 PI()
使用例
関数を入力すれば、そのセルにπの値が表示されます。表示桁数はセル幅によります。

EX4A570Z EX4A571Z
●DEGREES関数
ラジアンを度に変換する。
書式 DEGREES(角度)
角度 度に変換する角度(ラジアン値)を指定する。
使用例
図ではπの値を度数に変換しています。
[A]関数を入力する
[B]結果が求められる

EX4A572Z EX4A573Z
●RADIANS関数
度をラジアンに変換する。
書式 RADIANS(角度)
角度 ラジアンに変換する角度を指定する。
使用例
図では、度数をラジアン値に変換しています。
[A]関数を入力する
[B]結果が求められる

EX4A574Z EX4A575Z
■公約数と公倍数
数値(整数)の最大公約数と最小公倍数を求める関数があります。これら2つの関数は、メニュー[ツール][アドイン]で「分析ツール」をセットアップしていないと値が求められません。
●GCD関数 要 分析ツール
複数の整数の最大公約数を返す。
書式 GCD(数値1, 数値2, ...)
数値1,数値2,, ... 最大公約数を求める数値を指定する(最大30個まで)
引数に小数点以下の値を指定すると切り捨てられます。引数に負の値を指定するとエラー値#NUM!が返されます。
使用例
[A]数式を入力する
[B]結果

EX4A576Z EX4A577Z
●LCM関数 要 分析ツール
複数の整数の最小公倍数を返す。
書式 LCM(数値1, 数値2, ...)
数値1, 数値2,... 最小公倍数を求める数値を指定する(最大30個まで)
引数に小数点以下の値を指定すると切り捨てられます。引数に負の数を指定するとエラー値#NUM!が返されます。
使用例
[A]数式を入力する
[B]結果

EX4A578Z EX4A579Z
■対数
数値の対数には、自然対数や常用対数があり、それぞれの値を求める関数があります。また、対数の逆数としてeのべき乗を求める関数もあります。
●LN関数
数値の自然対数(定数e(2.71828182845904)を底とする対数)を返す。LN関数はEXP関数の逆関数です。
書式 LN(数値)
数値 自然対数を求める正の実数を指定する。
使用例
次の例は、各値の自然対数を求めています。
[A]数式を入力する
[B]結果が求められる
[C]下へ続くセルに複写する

EX4A580Z EX4A581Z EX4A582Z
●EXP関数
eを底とする数値のべき乗を返す。
書式 EXP(数値)
数値 eを底とするべき乗の指数を指定する。
使用例
[A]数式を入力する
[B]結果が求められる
[C]下へ続くセルに複写する

EX4A583Z EX4A584Z
EX4A585Z
●LOG関数
指定された数を底とする数値の対数を返す。
書式 LOG(数値, 底)
数値 対数を求める正の実数を指定する。
底 対数の底を指定する(省略は10を指定したと見なされる)
使用例
底を2.7にした対数
[A]数式を入力する
[B]結果が求められる
[C]下へ続くセルに複写する

EX4A586Z EX4A587Z
EX4A588Z
●LOG10関数
10を底とする数値の対数(常用対数)を返す。
書式 LOG10(数値)
数値 対数を求める正の実数を指定する
使用例
[A]数式を入力する
[B]結果が求められる
[C]下へ続くセルに複写する
EX4A589Z
EX4A590Z
EX4A591Z
■配列の計算
ここでいう配列とは、縦あるいは横に連続するセルに入力された値の集まりのことをいいます。同じ方向の同じセル数の配列に対して、平方差、平方和、差の2乗の合計、を求める関数があります。
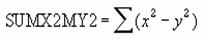
●SUMX2MY2関数
2つの配列で対応する配列要素の平方差を合計する。
書式 SUMX2MY2(配列1, 配列2)
配列1 対象となる一方の数値配列またはセル範囲を指定する。
配列2 対象となるもう一方の数値配列またはセル範囲を指定する。
引数として指定した配列やセル範囲に、文字列、論理値、または空白セルが含まれる場合、これらの値は無視されます。配列1と配列2のデータ個数が異なると、エラー値#N/Aが返されます。平方差の合計は次の式で計算できます。
EX4A124Z
使用例
同じデータの場合、差はないので0になる
[A]数式を入力する
[B]平方差が求められる

EX4A592Z EX4A593Z

EX4A594Z EX4A595Z
●SUMX2PY2関数
2 つの配列で対応する配列要素の平方和を合計する。
書式 SUMX2PY2(配列1, 配列2)
配列1 対象となる一方の数値配列またはセル範囲を指定する。
配列2 対象となるもう一方の数値配列またはセル範囲を指定する。
引数として指定した配列やセル範囲に、文字列、論理値、または空白セルが含まれる場合、これらの値は無視されます。配列1と配列2のデータ個数が異なると、エラー値#N/Aが返されます。平方和の合計は次の式で計算できます。
EX4A125Z
使用例
[A]数式を入力する
[B]平方和が求められる

EX4A596Z EX4A597Z

EX4A598Z EX4A599Z
●SUMXMY2関数
2つの配列で対応する配列要素の差を2乗し、さらにその合計を返す。
書式 SUMXMY2(配列1, 配列2)
配列1 対象となる一方の数値配列またはセル範囲を指定する。
配列2 対象となるもう一方の数値配列またはセル範囲を指定する。
引数として指定した配列やセル範囲に、文字列、論理値、または空白セルが含まれる場合、これらの値は無視されます。配列1と配列2のデータ個数が異なると、エラー値#N/Aが返されます。この関数は次の式で計算されます。
EX4A126Z
使用例
[A]数式を入力する
[B]平方和が求められる
EX4A602Z
EX4A603Z
同じデータの場合、差はないので0になる
EX4A600Z
EX4A601Z
■乱数
不規則な数値を無作為に抽出する値のことを乱数といいます。乱数は確率などのシュミレーションなどに利用されます。小数以下の値を返す関数と整数を返す関数があります。
●RAND関数
0以上で1より小さい乱数を発生させます。ワークシートが再計算されるたびに、新しい乱数が返されます。
書式 RAND()
乱数で発生させる値に範囲指定するときは、次の数式を使います。
RAND()*(b-a)+a
たとえば、50〜100の範囲内で乱数を発生させるなら、a=50、b=100として、以下のようにします。
RAND()*(100-50)+50 → RAND()*50+50
使用例
次の例は、50以上で100を超えない乱数を発生させる場合です。乱数値は図と同じになりません。
[A]数式を入力する
[B]乱数値が返される
[C][F9]キーを押して再計算すると乱数値も書き変わる

EX4A604Z EX4A605Z EX4A606Z
乱数を値としてセルに入力する場合、数式の入力を決定する前に[F9]キーを押して再計算します。すると数式が値に変更されるので、値としてセルに入力することができます。
[A]乱数を発生させる数式を入力する
◆[F9]キーを押して再計算する
[B]入力した数式が値に書き変わる
◆[Enter]キーを押して入力決定する
[C]数式ではなく値が入力れる
![]() |

EX4A607Z EX4A608Z
EX4A609Z
●RANDBETWEEN関数 要 分析ツール
指定された範囲で一様に分布する整数の乱数を返す。ワークシートが再計算されるたびに新しい乱数が返されます。
書式 RANDBETWEEN(最小値, 最大値)
最小値 乱数の最小値を整数で指定する。
最大値 乱数の最大値を整数で指定する。
使用例
次の例は、整数値10〜20の乱数を発生します。
[A]数式を入力する
[B]乱数値が10〜20の範囲内で返される
◆[F9]キーを押して再計算する
[C]乱数値が10〜20の範囲内で返される

EX4A610Z EX4A611Z
EX4A612Z
■絶対値
数値の符号を外した値のことを絶対値といいます。絶対値を求める関数と数値の符号を求める関数があります。
●ABS関数
数値の絶対値を返す。絶対値とは、数値から符号(+、-)を除いた値のことです。
書式 ABS(数値)
数値 絶対値を求める実数を指定する。
使用例
[A]数式を入力する
[B]値の絶対値が求められる
[C]下へ続くセルに数式を複写する

EX4A713Z EX4A714Z EX4A715Z
●SIGN関数
数値の正負を調べて、結果を数値で返します。戻り値は表1の通りです。
表1
戻り値 種類
1 正数
0 0(数値のゼロ)
−1 負数
書式 SIGN(数値)
数値 正負を調べる数値を指定する。
使用例
[A]数式を入力する
[B]結果が求められる
[C]下へ続くセルに数式を複写する

EX4A716Z EX4A717Z
EX4A718Z
値100は正数なので1、−100は負数なので−1、0はゼロを示す0が求められています。次の例は、この結果を利用して正数,負数、零を表示するようにIF関数と組み合わせています。IF関数は2つの処理を選択する働きをしますが、以下のようにIF関数の中にIF関数を組み込むことで2つ以上の処理を選択できるようにしています。
[A]数式を入力する
[B]結果が求められる
[C]下へ続くセルに数式を複写する
EX4A720Z
EX4A721Z
EX4A719Z
■積算
ある値と値を掛け合わせる、階乗、二重階乗、積、べき乗、を求める関数があります。小数点以下が切り捨てられる(整数計算)関数があるので注意しましょう。
●FACT関数
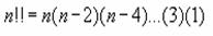
数値の階乗を返す。数値の階乗は、1〜指定する数値の範囲にある整数の積になる
書式 FACT(数値)
数値 階乗を求める数値を指定する(小数点以下は切り捨てられる)。
使用例
[A]数式を入力する
[B]結果が求められる
[C]下へ続くセルに数式を複写する
負数は計算できないので、#NUM!(セルD5参考)が返されます。

EX4A722Z EX4A723Z EX4A724Z
●FACTDOUBLE関数 要 分析ツール
数値の二重階乗を返す。
書式 FACTDOUBLE(数値)
数値 二重階乗を求める数値を指定する(小数点以下は切り捨てられる)
数値に偶数を指定した場合は、次の数式で計算されます。
EX4A117Z
数値に奇数を指定した場合は、次の数式で計算されます。
EX4A118Z
使用例
[A]数式を入力する
[B]結果が求められる
[C]下へ続くセルに数式を複写する

EX4A725Z EX4A726Z
EX4A727Z
●PRODUCT関数
引数リストの積を返す。
書式 PRODUCT(数値1, 数値2, ...)
数値1, 数値2,... 積を計算する数値を指定する(最大30個まで)。
引数の中に含まれる数値だけが計算の対象となります。空白セル、論理値、文字列、またはエラー値はすべて無視されます。
使用例
[A]数式を入力する
[B]結果が求められる

EX4A728Z EX4A729Z
引数の中に負数が入っている場合、符号の積算も行われます。図Cは負数が1つなので結果は負数、図Dは負数が2つなので負数*負数で正数になっています。
図C 図D

EX4A730Z EX4A731Z
次の例は結果の値が大きくなる場合です(図A)。計算された結果の桁数によりセル幅が足りないとき、E記号を使ったE表記で表示されます(図B)。セル幅を変更していない場合で、なおかつ同じ列に他のデータが入力されていない場合、図Cのように自動的にセル幅が調整されて通常の数値で表示されます。図Bのように表示されたときでも、セル幅を大きくすれば図Cのように表示されるようになります。
図A
EX4A732Z
図B
EX4A733Z
図C
EX4A734Z
●POWER関数
数値のべき乗を返す。この関数は算術演算子の「^」演算子と同じ働きをします。
書式 POWER(数値, 指数)
数値 べき乗の底を指定する。
指数 底とするべき乗の指数を指定する。
使用例
[A]数式を入力する
[B]結果が求められる

EX4A735Z EX4A736Z
次の例は演算子「^」を使って計算しています。
[A]数式を入力する
[B]結果が求められる

EX4A737Z EX4A738Z
次の例は、負の指数を指定した場合です。
EX4A739Z
■行列式
行列とは縦と横に連続したセル、つまり、四角形の領域に値が入力されている範囲の計算のことです。通常の行列計算、逆行列、行列積、行列変換、を行う関数があります。
●MDETERM関数
配列の行列式を返す。
書式 MDETERM(配列)
配列 行数と列数が等しい数値配列(正方行列)を指定する。
この関数は次の数式で表すことができます。
MDETERM(A1:C3) =
A1*(B2*C3-B3*C2) + A2*(B3*C1-B1*C3) + A3*(B1*C2-B2*C1)
なお、計算はほぼ16桁の精度で計算されるため、わずかな誤差が生じることがあります。たとえば、解答が0であるとき、本来は0を返すべきところを1E-16のように限りなく0に近い数値で表される場合があります。
使用例
[A]数式を入力する
[B]結果が求められる
EX4A740Z
EX4A741Z
●MINVERSE関数
行列の逆行列を返す。
書式 MINVERSE(配列)
配列 行数と列数が等しい数値配列(正方行列)を指定する。
2行2列の行列の場合、セル範囲A1:B2にはそれぞれa、b、c、dという数値が入力されているとき、各要素は次のように計算されます。なお、計算はほぼ16桁の精度で計算されるため、わずかな誤差が生じることがあります。
列 A 列 B
行 1 d/(a*d-b*c) b/(b*c-a*d)
行 2 c/(b*c-a*d) a/(a*d-b*c)
使用例
[A]結果を出力するセル範囲を選択する
[B]数式を入力する
◆[CTRL]+[SHIFT]+[Enter]キーを押す
[C]配列形式の数式が入力されて、各セルに結果が表示される
[D]セル範囲の選択(反転表示)を解除する

EX4A742Z EX4A743Z
EX4A744Z
●MMULT関数
2つの配列の行列積を返す。計算結果は、行数が配列1と同じで、列数が配列2と同じ配列になります。
書式 MMULT(配列1, 配列2)
配列1、配列2 行列積を求める2つの配列を指定する。
2つの配列b、cの行列積である配列aは次のように定義されます。
EX4A119Z
ここで、
i = 行数
j = 列数
使用例
[A]結果を出力するセル範囲を選択する
[B]数式を入力する
◆[CTRL]+[SHIFT]+[Enter]キーを押す
[C]配列形式の数式が入力されて、各セルに結果が表示される
[D]セル範囲の選択(反転表示)を解除する

EX4A745Z EX4A746Z
EX4A747Z
●TRANSPOSE関数
配列の縦方向と横方向のセル範囲の変換を行う。この関数はワークシート上に入力した配列データの縦と横を逆転させるときに使います。
書式 TRANSPOSE(配列)
配列 行列変換を行うセル範囲を指定します
使用例
@結果を出力するセル範囲を選択する
A数式を入力する
◆[CTRL]+[SHIFT]+[Enter]キーを押す
[A]配列形式の数式が入力されて、各セルに結果が表示される
[B]セル範囲の選択(反転表示)を解除する

EX4A748Z EX4A749Z
EX4A750Z
次の例は、配列数式に組み込んで、計算の結果を逆転しています。
[A]配列数式を入力しているセル範囲を選択する
◆[F2]キーを押して数式の編集状態にする
@数式を書き替える
◆[CTRL]+[SHIFT]+[Enter]キーを押す
[B]配列形式の数式が入力されて、各セルに結果が表示される
[C]セル範囲の選択(反転表示)を解除する
EX4A754Z
EX4A751Z

EX4A752Z EX4A753Z
■多項係数
ある数値の和の階乗と階乗の積との比を多項係数といいます。この値を求める関数は[分析ツール]がセットアップおよびアドイン登録されていることが必要です。
●MULTINOMIAL関数 要 分析ツール
指定された数値の和の階乗と、指定された数値の階乗の積との比(多項係数)を返す。
書式 MULTINOMIAL(数値1, 数値2, ...)
数値1, 数値2、... 計算の対象となる数値を指定する(最大29個まで)
多項係数の計算は次のように定義されています。
EX4A120Z
使用例
[A]数式を入力する
[B]結果が求められる

EX4A755Z EX4A756Z
■組み合わせの数
あるスポーツの総当たり戦の回数、あるいは、組み合わせ数を求める関数があります。
●COMBIN関数
すべての項目から指定された個数を選択するときの組み合わせの数を返す。複数の項目をグループ化するとき、何とおりのグループを作成できるかを調べるときに使用できます。
書式 COMBIN(総数, 抜き取り数)
総数 項目の数を指定する。
抜き取り数 組み合わせる1組に含まれる項目の数を指定する。
順列では、選択した項目の順序に意味があるのに対し、組み合わせでは、項目の順序に意味はありません。総数=n、抜き取り数=kとすると、組み合わせの総数は、次の数式で表されます。
EX4A052Z
ここで
EX4A053Z
使用例
次の例は、12人の選手から4人1組、6人1組、12人1組、のチームを作る組み合わせ数を求めています。
[A]数式を入力する
[B]結果が求められる
[C]下へ続くセルに数式を複写する

EX4A757Z EX4A758Z EX4A759Z
■ローマ数字
数値(アラビア数字)をローマ数字に変換する関数があります。ローマ数字の書式として、正式、簡易、の数種から選択した結果を求めることができます。
●ROMAN関数
アラビア数字をローマ数字を表す文字列に変換する。
書式 ROMAN(数値, 書式)
数値 変換する数値(アラビア数字)を指定する。
書式 ローマ数字の書式を数値で指定する。
書式 種類
0/省略 正式。
1 簡略化した形式。使用例を参照。
2 1 より簡略化した形式。使用例を参照。
3 2 より簡略化した形式。使用例を参照。
4 略式。
TRUE 正式。
FALSE 略式。
数値に負の数、および3999より大きい数値を指定すると、エラー値#VALUE!が返されます。
使用例
[A]数式を入力する
[B]結果が求められる
[C]下へ続くセルに数式を複写する
![]() |

EX4A768Z EX4A769Z
EX4A770Z
■べき級数
べき級数は、ある値の近似計算を行うときに利用する値を抽出する関数です。べき級数で近似計算のできる関数については数学書などを参考にしてください。
●SERIESSUM関数 要 分析ツール
次の式で定義されるべき級数を返す。
EX4A122Z
書式 SERIESSUM(x, n, m, 係数)
x べき級数に代入する値を指定する。
n xのべき乗の初期値を指定する。
m 級数の各項に対するnの増分を指定する。
係数 xの(n+m)乗の乗数を指定する。
係数に含まれる値の個数でべき級数の項数が決定します。たとえば係数に4つの値が含まれている場合、4項のべき級数が求められます。
使用例
図のようなデータの場合、4項のべき級数が求められます。
[A]数式を入力する
[B]結果が求められる

EX4A771Z EX4A772Z
■平方根
平方根を求める関数には、数値の平方根を返す関数と、πの平方根(値をπ倍する)を返す関数があります。
●SQRT関数
正の平方根を返す。
書式 SQRT(数値)
数値 平方根を求める数値を指定する。
数値に負の数を指定するとエラー値#NUM!が返されます。
使用例
[A]数式を入力する
[B]結果が求められる
[C]下へ続くセルに数式を複写する
空白は0(ゼロ)として計算されます(セルD9参考)。負数は計算できないので、#NUM!が返されています(セルD6参考)。

EX4A760Z EX4A761Z EX4A762Z
●SQRTPI関数 要 分析ツール
数値*πの平方根を返す。
書式 SQRTPI(数値)
数値 π倍する数値を指定する。
数値に負数を指定すると、エラー値#NUM!が返されます。
使用例
[A]数式を入力する
[B]結果が求められる
[C]下へ続くセルに数式を複写する

EX4A763Z EX4A764Z
EX4A765Z
次の例は、SQRTPI関数を使わないで同じ結果を求めています。
[A]数式を入力する
[B]結果が求められる

EX4A766Z EX4A767Z
■平方和
ある値を二乗した値を合計した値のことを平方和といいます。この関数の活用例としては、敷地の総面積の計算などに利用します。
●SUMSQ関数
引数の2乗の和(平方和)を返す。
書式 SUMSQ(数値1, 数値2, ...)
数値1, 数値2,... 平方和を計算する数値を指定する(最大30個まで)
使用例
次の例は2つの値(5の平方は25)の平方和を求めています。
[A]数式を入力する
[B]結果が求められる

EX4A773Z EX4A774Z
次の例は3つの値の平方和を求めています。
[A]数式を入力する
[B]結果が求められる

EX4A775Z EX4A776Z
以上の例では、値は2つや3つでしたが、セル範囲で指定しているので引数としては1つ(最大30個のうちの1つ)です。次の例では、引数は2つになります。
[A]数式を入力する
[B]結果が求められる
EX4A777Z
EX4A778Z
作成手順
さて、どこから書き始めればいいのでしょう。
![]() |
|||||
![]() |
|||||
![]() |
|||||
![]() |
|
![]() |
![線吹き出し 3: [A]](clip_image369.gif)
![線吹き出し 3: [B]](clip_image352.gif)
![線吹き出し 3: [B]](clip_image363.gif)
![線吹き出し 3: [A]](clip_image353.gif)
![線吹き出し 3: [A]](clip_image364.gif)
![線吹き出し 3: [C]](clip_image349.gif)
![線吹き出し 3: [C]](clip_image334.gif)
![線吹き出し 3: [C]](clip_image323.gif)
![線吹き出し 3: [C]](clip_image310.gif)
![線吹き出し 3: [B]](clip_image208.gif)
![線吹き出し 3: [B]](clip_image343.gif)
![線吹き出し 3: [B]](clip_image335.gif)
![線吹き出し 3: [B]](clip_image328.gif)
![線吹き出し 3: [B]](clip_image318.gif)
![線吹き出し 3: [B]](clip_image309.gif)
![線吹き出し 3: [B]](clip_image298.gif)
![線吹き出し 3: [B]](clip_image372.gif)
![線吹き出し 3: [A]](clip_image358.gif)
![線吹き出し 3: [A]](clip_image344.gif)
![線吹き出し 3: [A]](clip_image336.gif)
![線吹き出し 3: [A]](clip_image329.gif)
![線吹き出し 3: [A]](clip_image308.gif)
![線吹き出し 3: [A]](clip_image299.gif)
![線吹き出し 3: [A]](clip_image284.gif)
![線吹き出し 3: [B]](clip_image217.gif)
![線吹き出し 3: [B]](clip_image177.gif)
![線吹き出し 3: [B]](clip_image281.gif)
![線吹き出し 3: [D]](clip_image271.gif)
![線吹き出し 3: [D]](clip_image259.gif)
![線吹き出し 3: [B]](clip_image238.gif)
![線吹き出し 3: [A]](clip_image218.gif)
![線吹き出し 3: [C]](clip_image192.gif)
![線吹き出し 3: [A]](clip_image178.gif)
![線吹き出し 3: [C]](clip_image290.gif)
![線吹き出し 3: [A]](clip_image274.gif)
![線吹き出し 3: [C]](clip_image264.gif)
![線吹き出し 3: [C]](clip_image252.gif)
![線吹き出し 3: [A]](clip_image239.gif)
![線吹き出し 3: [C]](clip_image214.gif)
![線吹き出し 3: [C]](clip_image195.gif)
![線吹き出し 3: [B]](clip_image189.gif)
![線吹き出し 3: [C]](clip_image168.gif)

![線吹き出し 3: [B]](clip_image265.gif)
![線吹き出し 3: [B]](clip_image253.gif)
![線吹き出し 3: [B]](clip_image249.gif)
![線吹き出し 3: [B]](clip_image208.gif)
![線吹き出し 3: [B]](clip_image208.gif)
![線吹き出し 3: [B]](clip_image196.gif)
![線吹き出し 3: [A]](clip_image186.gif)
![線吹き出し 3: [B]](clip_image169.gif)


![線吹き出し 3: [A]](clip_image266.gif)
![線吹き出し 3: [A]](clip_image254.gif)
![線吹き出し 3: [A]](clip_image246.gif)
![線吹き出し 3: [A]](clip_image233.gif)
![線吹き出し 3: [A]](clip_image209.gif)
![線吹き出し 3: [A]](clip_image197.gif)
![線吹き出し 3: [C]](clip_image183.gif)
![線吹き出し 3: [A]](clip_image170.gif)
![線吹き出し 3: [B]](clip_image080.gif)
![線吹き出し 3: [C]](clip_image165.gif)
![線吹き出し 3: [A]](clip_image151.gif)
![線吹き出し 3: [C]](clip_image095.gif)
![線吹き出し 3: [A]](clip_image081.gif)
![線吹き出し 3: [B]](clip_image159.gif)
![線吹き出し 3: [C]](clip_image141.gif)
![線吹き出し 3: [C]](clip_image104.gif)
![線吹き出し 3: [B]](clip_image089.gif)
![線吹き出し 3: [A]](clip_image160.gif)
![線吹き出し 3: [B]](clip_image142.gif)
![線吹き出し 3: [B]](clip_image134.gif)
![線吹き出し 3: [B]](clip_image119.gif)
![線吹き出し 3: [B]](clip_image101.gif)
![線吹き出し 3: [A]](clip_image090.gif)
![線吹き出し 3: [B]](clip_image072.gif)
![線吹き出し 3: [C]](clip_image156.gif)
![線吹き出し 3: [A]](clip_image143.gif)
![線吹き出し 3: [A]](clip_image131.gif)
![線吹き出し 3: [A]](clip_image120.gif)
![線吹き出し 3: [A]](clip_image098.gif)
![線吹き出し 3: [C]](clip_image086.gif)
![線吹き出し 3: [A]](clip_image073.gif)
![線吹き出し 3: [B]](clip_image014.gif)

![線吹き出し 3: [C]](clip_image019.gif)

![線吹き出し 3: [B]](clip_image057.gif)
![線吹き出し 3: [B]](clip_image051.gif)

![線吹き出し 3: [A]](clip_image015.gif)
![線吹き出し 3: [A]](clip_image058.gif)
![線吹き出し 3: [A]](clip_image052.gif)

![線吹き出し 3: [B]](clip_image291.gif)